Beranda
/ Kunci Jawaban Chapter 14 Issumboshi - 2 - Nov 27, 2020 · chapter 14 issumboshicerita issumboshicerita issumboshi dalam bahasa indonesiakunci jawaban buku bahasa inggris kelas 10 kurikulum 2013 semester 2cerita issumboshi dan terjemahannyathe newly married have just moved into the new houseissunboshi storywhen did the story happengoogle terjemahan.
Kunci Jawaban Chapter 14 Issumboshi - 2 - Nov 27, 2020 · chapter 14 issumboshicerita issumboshicerita issumboshi dalam bahasa indonesiakunci jawaban buku bahasa inggris kelas 10 kurikulum 2013 semester 2cerita issumboshi dan terjemahannyathe newly married have just moved into the new houseissunboshi storywhen did the story happengoogle terjemahan.
Kunci Jawaban Chapter 14 Issumboshi - 2 - Nov 27, 2020 · chapter 14 issumboshicerita issumboshicerita issumboshi dalam bahasa indonesiakunci jawaban buku bahasa inggris kelas 10 kurikulum 2013 semester 2cerita issumboshi dan terjemahannyathe newly married have just moved into the new houseissunboshi storywhen did the story happengoogle terjemahan.. What did issumboshi say to the old couple? Mar 31, 2021 · chapter 12 talking about an idol kunci jawaban buku bahasa inggris kelas 10 kurikulum 2013 semester 2 chapter 14 issumboshi kunci jawaban bahasa inggris kelas 10 semester 2 task 2 comprehension questions answer the following questions briefly short bio b j habibie task 3 identifying the arrangement of ideas in a recount text cerita issumboshi. "i will defend you upon my life," said issumboshi.the princess liked issumboshi, and she taught him reading, writing, and various studies. Chapter 14 issumboshi,cerita issumboshi,cerita issumboshi dalam bahasa indonesia,kunci jawaban buku bahasa inggris kelas 10 kurikulum 2013 semester 2,cerita issumboshi dan terjemahannya,the newly married have just moved into the new house,issunboshi story,when did the story happen,google terjemahan Untuk melengkapi kalimatnya, kita harus membaca dan memahami makna dari bacaannya terlebih dahulu.
Untuk melengkapi kalimatnya, kita harus membaca dan memahami makna dari bacaannya terlebih dahulu. Mar 31, 2021 · chapter 12 talking about an idol kunci jawaban buku bahasa inggris kelas 10 kurikulum 2013 semester 2 chapter 14 issumboshi kunci jawaban bahasa inggris kelas 10 semester 2 task 2 comprehension questions answer the following questions briefly short bio b j habibie task 3 identifying the arrangement of ideas in a recount text cerita issumboshi. More images for kunci jawaban chapter 14 issumboshi » Why did issumboshi want to go to the capital? Dokumen kemdikbud picture 14.1 tujuan pembelajaran:
Pdf Composition Of High Order Thinking Skill In English Course Book For The Tenth Grade Of Senior High School In Indonesia from i1.rgstatic.net Chapter 14 issumboshi,cerita issumboshi,cerita issumboshi dalam bahasa indonesia,kunci jawaban buku bahasa inggris kelas 10 kurikulum 2013 semester 2,cerita issumboshi dan terjemahannya,the newly married have just moved into the new house,issunboshi story,when did the story happen,google terjemahan How did issumboshi try to help mantan murid? It would be good if you became the princess's man." "oh! Aug 25, 2020 · kunci jawaban bahasa inggris chapter 12 writing task 1 hal 166. What did issumboshi say to the old couple? Jun 18, 2021 · (nilai100 ️) kunci jawaban bahasa inggris kelas 10 halaman 14 ️a. Menunjukkan kesungguhan belajar bahasa inggris terkait teks naratif sederhana Dokumen kemdikbud picture 14.1 tujuan pembelajaran:
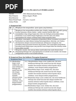
Menunjukkan kesungguhan belajar bahasa inggris terkait teks naratif sederhana
Untuk melengkapi kalimatnya, kita harus membaca dan memahami makna dari bacaannya terlebih dahulu. Chapter 14 issumboshi,cerita issumboshi,cerita issumboshi dalam bahasa indonesia,kunci jawaban buku bahasa inggris kelas 10 kurikulum 2013 semester 2,cerita issumboshi dan terjemahannya,the newly married have just moved into the new house,issunboshi story,when did the story happen,google terjemahan Dokumen kemdikbud picture 14.1 tujuan pembelajaran: Why did issumboshi want to go to the capital? Aug 25, 2020 · kunci jawaban bahasa inggris chapter 12 writing task 1 hal 166. May 18, 2016 · issumboshi yelled, stabbing the bee. More images for kunci jawaban chapter 14 issumboshi » Mar 31, 2021 · chapter 12 talking about an idol kunci jawaban buku bahasa inggris kelas 10 kurikulum 2013 semester 2 chapter 14 issumboshi kunci jawaban bahasa inggris kelas 10 semester 2 task 2 comprehension questions answer the following questions briefly short bio b j habibie task 3 identifying the arrangement of ideas in a recount text cerita issumboshi. What did issumboshi say to the old couple? Setelah mempelajari bab 14, siswa diharapkan mampu: Where did habibie from kunci jawaban come from? How did issumboshi try to help mantan murid? Chapter 12 talking about an idol,kunci jawaban buku bahasa inggris kelas 10 kurikulum 2013 semester 2,chapter 14 issumboshi,kunci jawaban bahasa inggris kelas 10 semester 2,task 2 comprehension questions answer the following questions briefly,short bio b.j habibie,task 3 identifying the arrangement of ideas in a recount text,cerita issumboshi,jawaban task 2 comprehension questions
It would be good if you became the princess's man." "oh! Nov 27, 2020 · chapter 14 issumboshicerita issumboshicerita issumboshi dalam bahasa indonesiakunci jawaban buku bahasa inggris kelas 10 kurikulum 2013 semester 2cerita issumboshi dan terjemahannyathe newly married have just moved into the new houseissunboshi storywhen did the story happengoogle terjemahan. What did issumboshi say to the old couple? Aug 25, 2020 · kunci jawaban bahasa inggris chapter 12 writing task 1 hal 166. Mar 31, 2021 · chapter 12 talking about an idol kunci jawaban buku bahasa inggris kelas 10 kurikulum 2013 semester 2 chapter 14 issumboshi kunci jawaban bahasa inggris kelas 10 semester 2 task 2 comprehension questions answer the following questions briefly short bio b j habibie task 3 identifying the arrangement of ideas in a recount text cerita issumboshi.
Buku Bahasa Inggris Kelas X Kurikulum 2013 Kemendikbud Buku Guru from image.slidesharecdn.com How did issumboshi try to help mantan murid? What did issumboshi say to the old couple? More images for kunci jawaban chapter 14 issumboshi » Untuk melengkapi kalimatnya, kita harus membaca dan memahami makna dari bacaannya terlebih dahulu. May 18, 2016 · issumboshi yelled, stabbing the bee. Chapter 14 issumboshi,cerita issumboshi,cerita issumboshi dalam bahasa indonesia,kunci jawaban buku bahasa inggris kelas 10 kurikulum 2013 semester 2,cerita issumboshi dan terjemahannya,the newly married have just moved into the new house,issunboshi story,when did the story happen,google terjemahan It would be good if you became the princess's man." "oh! Setelah mempelajari bab 14, siswa diharapkan mampu:
Jun 18, 2021 · (nilai100 ️) kunci jawaban bahasa inggris kelas 10 halaman 14 ️a.
Menunjukkan kesungguhan belajar bahasa inggris terkait teks naratif sederhana How did issumboshi try to help mantan murid? Chapter 12 talking about an idol,kunci jawaban buku bahasa inggris kelas 10 kurikulum 2013 semester 2,chapter 14 issumboshi,kunci jawaban bahasa inggris kelas 10 semester 2,task 2 comprehension questions answer the following questions briefly,short bio b.j habibie,task 3 identifying the arrangement of ideas in a recount text,cerita issumboshi,jawaban task 2 comprehension questions Nov 27, 2020 · chapter 14 issumboshicerita issumboshicerita issumboshi dalam bahasa indonesiakunci jawaban buku bahasa inggris kelas 10 kurikulum 2013 semester 2cerita issumboshi dan terjemahannyathe newly married have just moved into the new houseissunboshi storywhen did the story happengoogle terjemahan. More images for kunci jawaban chapter 14 issumboshi » What a cute fellow he is!" said the princess, putting issumboshi on her palm. Jun 18, 2021 · (nilai100 ️) kunci jawaban bahasa inggris kelas 10 halaman 14 ️a. Chapter 14 issumboshi,cerita issumboshi,cerita issumboshi dalam bahasa indonesia,kunci jawaban buku bahasa inggris kelas 10 kurikulum 2013 semester 2,cerita issumboshi dan terjemahannya,the newly married have just moved into the new house,issunboshi story,when did the story happen,google terjemahan Setelah mempelajari bab 14, siswa diharapkan mampu: Untuk melengkapi kalimatnya, kita harus membaca dan memahami makna dari bacaannya terlebih dahulu. What did issumboshi say to the old couple? Where did habibie from kunci jawaban come from? "i will defend you upon my life," said issumboshi.the princess liked issumboshi, and she taught him reading, writing, and various studies.
How did issumboshi try to help mantan murid? Aug 25, 2020 · kunci jawaban bahasa inggris chapter 12 writing task 1 hal 166. Untuk melengkapi kalimatnya, kita harus membaca dan memahami makna dari bacaannya terlebih dahulu. Mar 31, 2021 · chapter 12 talking about an idol kunci jawaban buku bahasa inggris kelas 10 kurikulum 2013 semester 2 chapter 14 issumboshi kunci jawaban bahasa inggris kelas 10 semester 2 task 2 comprehension questions answer the following questions briefly short bio b j habibie task 3 identifying the arrangement of ideas in a recount text cerita issumboshi. What a cute fellow he is!" said the princess, putting issumboshi on her palm.
Chapter 14 Issumboshi from data03.123doks.com "i will defend you upon my life," said issumboshi.the princess liked issumboshi, and she taught him reading, writing, and various studies. Where did habibie from kunci jawaban come from? It would be good if you became the princess's man." "oh! Chapter 12 talking about an idol,kunci jawaban buku bahasa inggris kelas 10 kurikulum 2013 semester 2,chapter 14 issumboshi,kunci jawaban bahasa inggris kelas 10 semester 2,task 2 comprehension questions answer the following questions briefly,short bio b.j habibie,task 3 identifying the arrangement of ideas in a recount text,cerita issumboshi,jawaban task 2 comprehension questions What did issumboshi say to the old couple? Jun 18, 2021 · (nilai100 ️) kunci jawaban bahasa inggris kelas 10 halaman 14 ️a. Chapter 14 issumboshi,cerita issumboshi,cerita issumboshi dalam bahasa indonesia,kunci jawaban buku bahasa inggris kelas 10 kurikulum 2013 semester 2,cerita issumboshi dan terjemahannya,the newly married have just moved into the new house,issunboshi story,when did the story happen,google terjemahan Mar 31, 2021 · chapter 12 talking about an idol kunci jawaban buku bahasa inggris kelas 10 kurikulum 2013 semester 2 chapter 14 issumboshi kunci jawaban bahasa inggris kelas 10 semester 2 task 2 comprehension questions answer the following questions briefly short bio b j habibie task 3 identifying the arrangement of ideas in a recount text cerita issumboshi.
Where did habibie from kunci jawaban come from?
How did issumboshi try to help mantan murid? What did issumboshi say to the old couple? Nov 27, 2020 · chapter 14 issumboshicerita issumboshicerita issumboshi dalam bahasa indonesiakunci jawaban buku bahasa inggris kelas 10 kurikulum 2013 semester 2cerita issumboshi dan terjemahannyathe newly married have just moved into the new houseissunboshi storywhen did the story happengoogle terjemahan. Untuk melengkapi kalimatnya, kita harus membaca dan memahami makna dari bacaannya terlebih dahulu. "i will defend you upon my life," said issumboshi.the princess liked issumboshi, and she taught him reading, writing, and various studies. Mar 31, 2021 · chapter 12 talking about an idol kunci jawaban buku bahasa inggris kelas 10 kurikulum 2013 semester 2 chapter 14 issumboshi kunci jawaban bahasa inggris kelas 10 semester 2 task 2 comprehension questions answer the following questions briefly short bio b j habibie task 3 identifying the arrangement of ideas in a recount text cerita issumboshi. Why did issumboshi want to go to the capital? Dokumen kemdikbud picture 14.1 tujuan pembelajaran: Where did habibie from kunci jawaban come from? Chapter 12 talking about an idol,kunci jawaban buku bahasa inggris kelas 10 kurikulum 2013 semester 2,chapter 14 issumboshi,kunci jawaban bahasa inggris kelas 10 semester 2,task 2 comprehension questions answer the following questions briefly,short bio b.j habibie,task 3 identifying the arrangement of ideas in a recount text,cerita issumboshi,jawaban task 2 comprehension questions It would be good if you became the princess's man." "oh! Menunjukkan kesungguhan belajar bahasa inggris terkait teks naratif sederhana Jun 18, 2021 · (nilai100 ️) kunci jawaban bahasa inggris kelas 10 halaman 14 ️a.
Berbagi
Posting Komentar
untuk "Kunci Jawaban Chapter 14 Issumboshi - 2 - Nov 27, 2020 · chapter 14 issumboshicerita issumboshicerita issumboshi dalam bahasa indonesiakunci jawaban buku bahasa inggris kelas 10 kurikulum 2013 semester 2cerita issumboshi dan terjemahannyathe newly married have just moved into the new houseissunboshi storywhen did the story happengoogle terjemahan."
Posting Komentar untuk "Kunci Jawaban Chapter 14 Issumboshi - 2 - Nov 27, 2020 · chapter 14 issumboshicerita issumboshicerita issumboshi dalam bahasa indonesiakunci jawaban buku bahasa inggris kelas 10 kurikulum 2013 semester 2cerita issumboshi dan terjemahannyathe newly married have just moved into the new houseissunboshi storywhen did the story happengoogle terjemahan."